How to Calculate Axial Fan Performance: CFM, Static Pressure, and Efficiency
Sizing an Axial Cooling Fan for industrial equipment, telecom enclosures, or commercial HVAC systems requires more than just matching the physical dimensions. Guessing the airflow requirements often leads to one of two disastrous outcomes: undersizing, which causes catastrophic thermal failure, or oversizing, which wastes massive amounts of energy and generates unacceptable noise levels.
To engineer a reliable thermal management system, you need to understand the relationship between airflow, system resistance, and motor efficiency. Here is the practical guide to calculating Axial Fans performance and specifying the exact unit your project needs.
1. Calculating Required Airflow (CFM)
The primary job of any cooling fan is to remove waste heat. Airflow is typically measured in CFM (Cubic Feet per Minute) or m³/h (Cubic Meters per Hour).
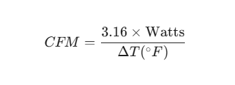
To calculate the exact CFM required to keep your equipment safe, you must know two variables:
1. Heat Dissipated (W): The total power lost as heat inside your system (in Watts).
2. Allowable Temperature Rise ($\Delta T$): The maximum acceptable temperature difference between the air entering the system and the air leaving it.

The Standard Engineering Formula: If calculating in Fahrenheit:

If calculating in Celsius:

Example: If your telecom cabinet dissipates 1,000W of heat, and you want to keep the internal temperature rise below 10°C, you will need an airflow of at least 176 CFM (1.76 *1000/10).
2. Understanding Static Pressure and System Impedance
Calculating CFM assumes the fan is operating in “free air” with zero obstacles. In reality, this never happens.
Airflow is always restricted by components inside the enclosure: dense PCB arrays, dust filters, protective grilles, and heat sink fins. This resistance to airflow is known as System Impedance or Static Pressure (SP), usually measured in inches of water gauge (in. H₂O) or Pascals (Pa).

Why this matters for Axial Fans: By design, axial fans are built to deliver high volumes of air at low static pressure. If your system is extremely dense (high impedance), a fan rated for 200 CFM in free air might only deliver 80 CFM when installed.
Engineers must plot the calculated CFM and the estimated System Impedance against the manufacturer’s P-Q Curve (Pressure-Volume Curve) to ensure the fan’s operating point falls within its optimal efficiency zone.
3. Factoring in Efficiency: Choosing the Right Motor
Once you have calculated the required CFM and evaluated your static pressure, the final step is determining system efficiency. This is where motor technology comes into play. Delivering 500 CFM can cost you 100 Watts of electricity, or it could cost you just 30 Watts—it all depends on the motor driving the blades.

· AC Axial Fan (Alternating Current): The traditional standard. It connects directly to grid power (115V/230V). While highly robust and inexpensive upfront, an AC Axial Fan operates at fixed speeds and lower electrical efficiency. It is best suited for legacy systems or simple continuous-run ventilation where energy tracking is not a priority.
· DC Axial Fan (Direct Current): Operating on 12V, 24V, or 48V, a DC Axial Fan utilizes a brushless motor to slash power consumption by up to 70% compared to AC models. Furthermore, it supports PWM (Pulse Width Modulation), allowing the system to dynamically adjust fan speed based on real-time temperature data.
· EC Axial Fan (Electronically Commutated): The pinnacle of modern cooling. An EC Axial Fan integrates AC-to-DC conversion electronics directly inside a brushless motor. It plugs directly into AC mains but operates with the extreme efficiency and smart speed control of a DC fan. For large-scale HVAC, refrigeration, and data centers facing strict global energy directives (like the EU ErP), EC technology is the undisputed choice.
Source High-Performance Fans from LONGWELL

Theoretical calculations only translate to real-world reliability if the hardware meets the spec sheet.
At LONGWELL, we are a premier manufacturer of advanced motor and aerodynamic solutions. Whether you need standard-sized equipment cooling fans or highly customized EC airflow arrays, our products undergo rigorous testing to ensure your calculated P-Q curves match real-world performance.
· Explore our full technical catalog at our Official Website (www.longwellfans.com).
· Ready to source globally? Visit the LONGWELL Alibaba Brand Store to view verified factory capabilities, check certifications (CE, RoHS, UL), and contact our engineering team directly for bulk orders and OEM/ODM projects.



